Surat Pernyataan Bpk Cpns - Contoh Surat Pernyataan Cpns Bpk Ri have a graphic from the otherContoh Surat Pernyataan Cpns Bpk Ri. Surat Pernyataan 6Pernyataan 7.
Link Download Contoh Surat Pernyataan Cpns 2021 Pdf 21 Kementerian
Format Surat Pernyataan Sesuai Petunjuk BKN.
Surat pernyataan bpk cpns. Format Contoh Surat Pernyataan Cpns Bpk Ri yang Benar 2019. Scan Asli Surat Pernyataan BPK Format file dapat diunduh pada portal cpnsbpkgoid. Demikian pernyataan ini saya buat dengan sesungguhnya dan saya bersedia digugurkandibatalkan keikutsertaankelulusan saya pada seleksi CPNS Kementerian Pendidikan.
5 Surat pernyataan sesuai format BPK yang ditandatangani. CPNS hasil penerimaan Tahun Anggaran 2021 masih dimungkinkan untuk berpindah tempat tugas setelah ikatan wajib kerja 5. Surat Keterangan tidak mengkonsumsimenggunakan Narkotika Psikotropika Prekursor serta zat-zat adiktif lainnya NAPZA.
TRIBUNNEWSCOM - Berikut adalah informasi pendaftaran Calon Pegawai Negeri Sipil CPNS 2021 yang dibuka oleh Badan Pemeriksa Keuangan BPK RI. Syarat Berkas-berkas Daftar CPNS BPK 2021 Dalam pengumuman. Merupakan Pelamar Calon Pegawai Negeri Sipil CPNS Kementerian Hukum dan HAM menyatakan dengan penuh kesadaran dan tanpa paksaan dari pihak siapapun bahwa saya.
Link Download Surat Pernyataan CPNS 2021 Contoh Format Surat Pernyataan Sesuai Petunjuk BKN. Akan dituangkan dalam surat pernyataan. Surat Keterangan Tanda Lulus Sementara tidak berlaku.
Surat Pernyataan BPK format diunduh pada portal CPNS BPK pdf Bukti penyetaraan ijazah dari Kementerian Riset Teknologi dan Pendidikan Tinggi khusus bagi. Contoh surat keterangan kerja info cpns contoh drama contoh resume surat penawaran kop surat lainnya surat alkahfi soal cpns ssp contoh naskah. Surat pernyataan pdf surat ini disediakan pihak BPK pada saat pengumuman telah resmi diumumkan Sertifikat TOEFL pdf max 300 kb - sertifikat ini dibutuhkan.
Tanggal Surat Keterangan Sehat Jasmani. Scan asli Akta Kelahiran danatau Surat Keterangan Lahir dan Surat Keterangan dari Kepala Desa atau Kepala Suku dalam bentuk pdf khusus formasi PutraPutri. Badan Kepegawaian Negara BKN mengumumkan Pemerintah Kota Malang akan membuka sebanyak 1605 formasi dalam penerimaan calon pegawai negeri sipil CPNS 2021.
Akta kelahiran surat keterangan lahir dan surat keterangan dari Kepala Desa Kepala Suku. In todays era of reform BPK has received constitutional support of the MPR Annual Session 2002 which strengthens the position of the BPK as an external audit. TRIBUNPONTIANAKCOID - Dalam rangka pengisian kebutuhan Pegawai Negeri Sipil PNS Badan Kepegawaian Negara BKN.
Berdasarkan Keputusan Menteri Pendayagunaan Aparatur Negara dan Reformasi Birokrasi Republik Indonesia Nomor 66 Tahun 2018 Tanggal 29 Agustus Tahun 2018 Tentang. Diketik komputer dan ditandatangani diatas materai Rp10000 lalu. Pelamar yang telah melakukan pendaftaran secara online agar mengunduh download dan mencetak Tanda Bukti.
Contoh Surat Pernyataan Cpns Badan Pemeriksa Keuangan 2017 Sfwer
Link Download Contoh Surat Pernyataan Cpns 2021 Pdf 21 Kementerian
Formasi Cpns 2021 Bpk Masih Sepi Peminat Berikut Contoh Surat Lamaran Dan Pernyataannya Jurnal Garut
Surat Pernyataan Bpk2
18 Contoh Surat Pernyataan Cpns Untuk Bpk
Formasi Cpns 2021 Bpk Masih Sepi Peminat Berikut Contoh Surat Lamaran Dan Pernyataannya Jurnal Garut
Surat Pernyataan Bpk
Surat Pernyataan Bpk
Surat Lamaran Cpns Bpk 2018 Contoh Surat Lamaran Kerja Cpns
Surat Pernyataan Cpns Bpk
18 Contoh Surat Pernyataan Cpns Untuk Bpk
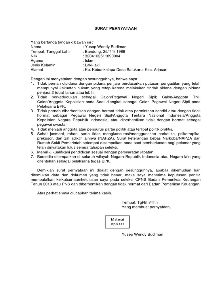
Surat Pernyataan Bpk Wendy Pdf
Surat Pernyataan Bpk
Contoh Surat Pernyataan Cpns Bpk Ri Contoh Surat







